您所在的位置:
首頁
走進興業
興業公告
公司公告
正文
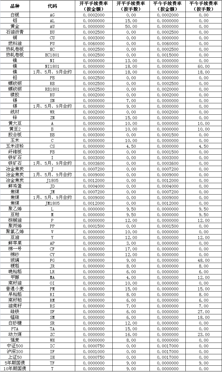
興業期貨有限公司手續費收取標準
時間:2017-12-29
上一篇:關于調整菜油期貨合約交易保證金比例的通知
下一篇:關于中金所升級技術系統前端風控功能的通知
關閉本頁
打印本頁